In the world of materials science, intense laser pulses have long been used to manipulate magnetization orientation in materials on incredibly short time scales. Traditionally, these effects have been thermally induced, where the absorbed laser energy rapidly heats up the material, causing a rapid perturbation of the magnetic order. However, a recent study by scientists from the Max Born Institute (MBI) has shed light on an alternative non-thermal approach to generating significant magnetization changes using extreme ultraviolet (XUV) radiation.
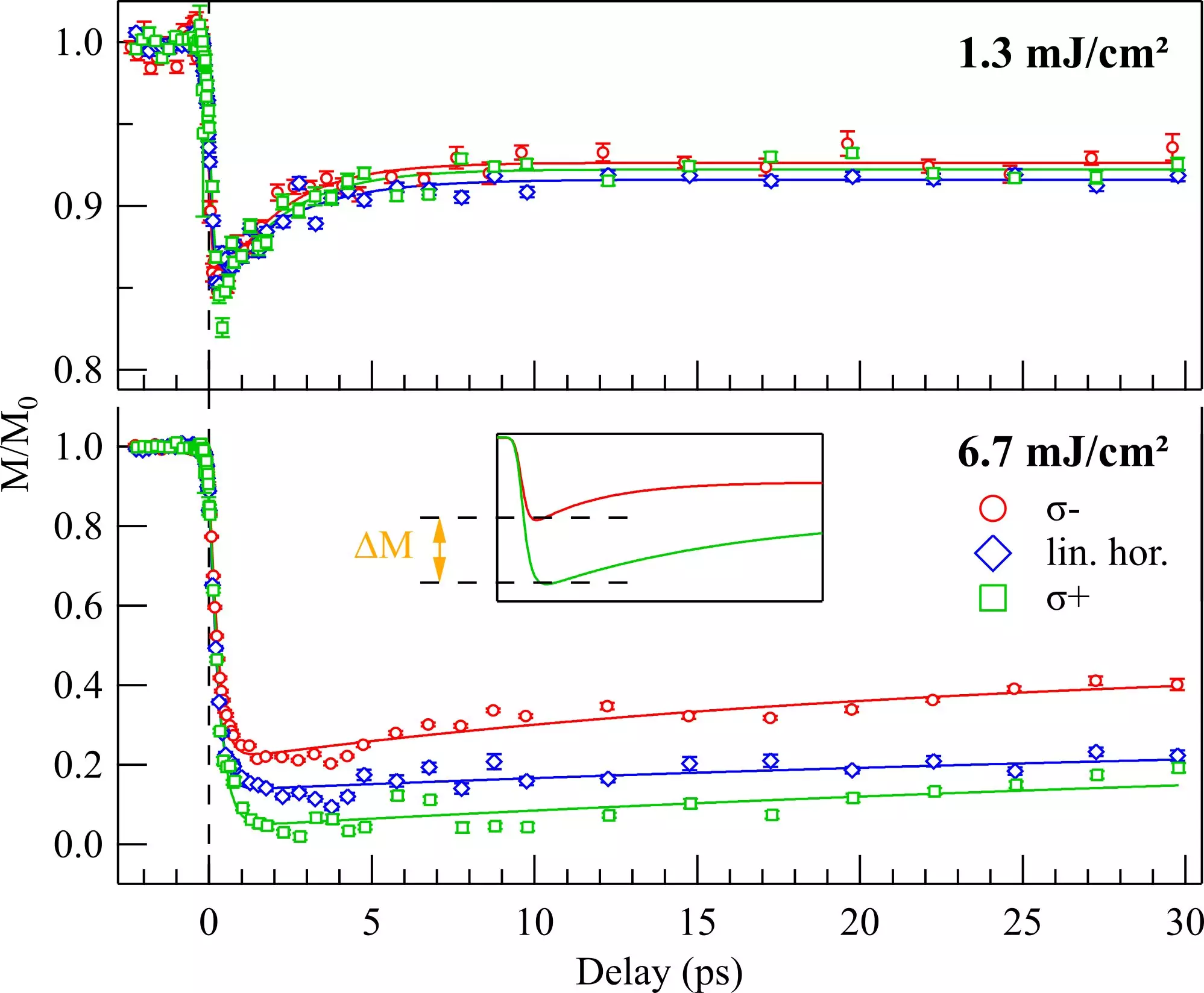
The key to this breakthrough lies in the inverse Faraday effect, a phenomenon that does not rely on the absorption of light to interact with magnetic moments in a material. Instead, the interaction occurs between the polarization of the light and the electronic spins within the material. By exposing a ferrimagnetic iron-gadolinium alloy to circularly polarized XUV radiation, the researchers were able to trigger a strong magnetic response, with the direction of magnetization depending on the handedness of the circular polarization.
Traditional methods of manipulating magnetism with intense laser pulses rely on the heat generated when the material absorbs the energy. This thermal approach, while effective in inducing rapid changes in magnetization, comes at a cost – a substantial heat load on the material. This limitation restricts the technological applicability of these methods, especially in scenarios where fast repetition rates are necessary, such as in future data storage technologies.
To overcome the limitations of traditional thermal mechanisms, the international team of researchers, spearheaded by scientists from MBI, explored the use of XUV radiation for non-thermal manipulation of magnetism. By utilizing circularly polarized femtosecond pulses of XUV radiation, the researchers were able to generate a significant magnetic response in a metallic, ferrimagnetic iron-gadolinium alloy. The high photon energy of the XUV radiation allowed for resonant excitation of core-level electrons, facilitating the generation of large opto-magnetic effects.
Through their experiments and theoretical simulations, the researchers were able to demonstrate that the observed effects were indeed a result of the inverse Faraday effect, rather than a purely thermal mechanism. This non-thermal approach to generating large magnetization changes on ultrafast time scales has significant implications for fields such as ultrafast magnetism, spintronics, coherent magnetization control, and nonlinear X-ray matter interactions.
The exploration of non-thermal approaches to manipulating magnetism using extreme ultraviolet radiation represents a significant advancement in the field of materials science. By leveraging the inverse Faraday effect and utilizing circularly polarized XUV radiation, researchers have demonstrated a new avenue for generating large magnetization changes without the limitations of thermal effects. These findings are poised to open up exciting possibilities in the realms of ultrafast magnetism and spintronics, paving the way for innovative applications and discoveries in the future.

Leave a Reply