Particle diffusion, a fundamental physical phenomenon, has long been studied and understood through the lens of Brownian motion. However, recent experiments have revealed unexpected patterns in particle diffusion, pointing towards a deeper complexity in this process. In a groundbreaking study published in The European Physical Journal B, researchers Adrian Pacheco-Pozo and Igor Sokolov from Humboldt University of Berlin shed light on the emergence of these unusual patterns and their implications for understanding the behavior of fluids.
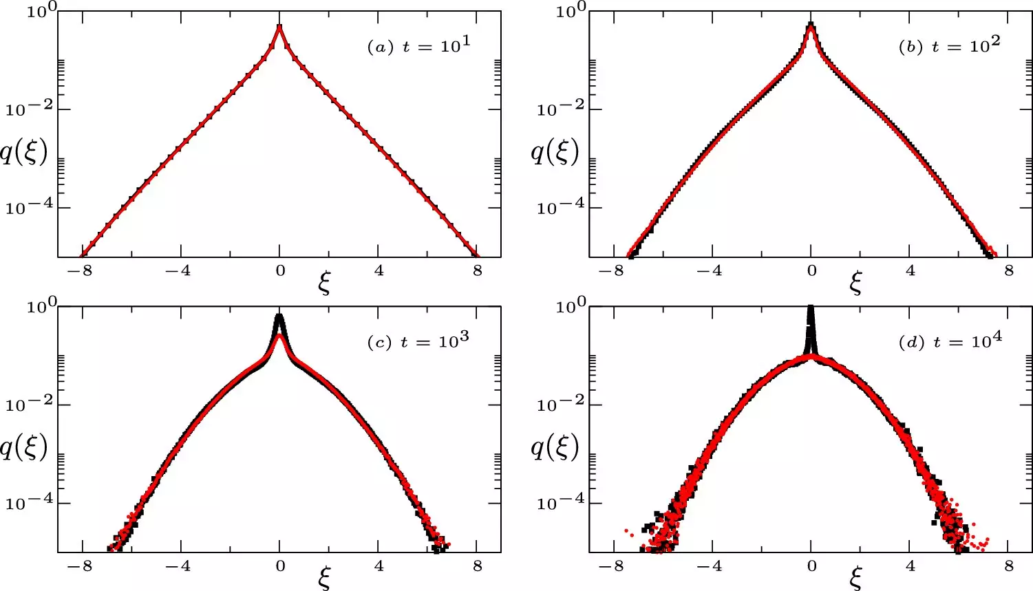
Pacheco-Pozo and Sokolov’s research highlights the significance of strong correlations among the positions of diffusing particles that travel along similar trajectories. Traditionally, diffusion has been explained as random fluctuations in particle positions, following a normal distribution characterized by Brownian motion. A bell-shaped curve is utilized to mathematically depict the probability of finding a particle at any displacement from its starting point. However, in specific scenarios, this distribution displays a sharp peak at its center, indicating a high likelihood of finding particles in that region.
The presence of a persistent peak challenges pre-existing diffusion models, which assume that the central peak should smooth out over time. Instead, the peak remains sharp, suggesting the existence of localized regions with varying diffusion rates. To understand the nature of this persistent peak, Pacheco-Pozo and Sokolov delved into the mathematics of “continuous-time random walk” models. These models involve a diffusing particle waiting for a random period before making a jump to a new position. Notably, the longer the particle waits, the greater the distance it covers with each jump.
Through their research, the duo demonstrated that the sharp central peak arises from strong correlations between the displacements of particles that take similar trajectories, both in terms of time and space. However, the continuous-time random walk model was unable to fully replicate the shape of the observed sharp peak. This finding indicates the necessity of investigating more complex time-varying connections between particles, which will be the focus of the researchers’ future studies.
The discoveries made by Pacheco-Pozo and Sokolov have far-reaching implications for understanding the behavior of fluids. By unraveling the complexity underlying particle diffusion, researchers can improve their models and gain deeper insights into diverse phenomena involving fluid dynamics.
This study opens up new avenues for studying and analyzing particle diffusion in a more nuanced manner. The exploration of stronger correlations and time-varying connections between diffusing particles offers a promising path towards developing more accurate and comprehensive theoretical frameworks for understanding diffusion processes. By bridging the gap between experimental findings and theoretical models, researchers can unlock the mysteries of particle behavior and pave the way for novel applications in various fields, such as materials science and biophysics.
The work of Pacheco-Pozo and Sokolov illuminates the intricacy of particle diffusion and its underlying complexity. By challenging traditional diffusion models, their research reminds us of the vast uncharted territory that lies within the realm of fluid dynamics. As scientists continue to explore and unravel the mysteries of particle diffusion, new doors of understanding and innovation will open, leading us towards a deeper comprehension of the fundamental processes that shape our world.

Leave a Reply